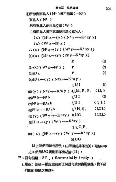
理則學  p. 231

最先 | 上一張圖片 | 下一張圖片 | 最後 | 縮圖